Lks Matematika Kelas 9

Materi matematika kelas 9 semester 1 dan 2 lengkap pada materi matematika kelas 9 ini terdiri dari beberapa bab yang semuanya harus tuntas untuk dipelajari selama dua semester. Rumah ceria matematika berbagi lks matematika kelas 9 lks ini kami bagikan kepada bapakibu sebagai bahan bantu ajar.
Jual Lks Matematika Smp Mts Kelas 9 Semester Ganjil Kur2013 Kab
Tinggla di klik 1.
Lks matematika kelas 9. Sedangkan bab 4 dan 5 diajarkan pada semester 2. Berikut kumpulan lks untuk anak anak kelas 9 yang bisa di download agar membantu dalam belajar matematika. Prota promes matematika kelas vii 2017 2018.
Prota promes matematika kelas vii 2017 2018. Lks kelas ix bangun ruang sisi lengkung. Untuk mempelajari materi materi matematika tentu harus ada sarana pendukung misalnya buku paket matematika dan media lainnya.
Materi matematika kelas 9 terdiri atas 5 bab yang mana bab 12 dan 3 diajarkan pada semester 1. Lks kelas ix statistika statistika. Materi dan lks matematika kelas 8 sistem koordinat.
Lks kelas ix bangun ruang sisi lengkung. Lks bilangan berpangkat 5. 20 tahun 2003 tentang sistem pendidikan nasional menyatakan bahwa pemerintah pusat dan daerah berhak mengarahkan membimbing dan mengawasi penyelenggaraan pendidikanpemerintah juga wajib memberikan layanan permudahan dan menjamin terselenggaranya pendidikan yang bermutu bagi setiap warga negara tanpa diskriminasi.
Buku bse matematika smp kelas 9 untuk menunjang keberhasilan dalam belajar matematika peserta didik memerlukan buku sebagai sumber utama dalam mempelajari matematika tersebutbuku yang berkualitas wajib dimiliki oleh peserta didik. Materi dan lks kelas 8 relasi dan fungsi. Berikut admin sarikan materi matematika kelas 9 kurikulum 2013 revisi 2018 dari buku siswa.
Berikut ini adalah download rpp dan silabus ktsp terbaru kelas 1 6 sd yang merupakan kumpulan file dari berbagi sumber downloadinfo guruperangkat pembelajaranrpp tentang buku lks matematika smp kelas 9. Inilah buku lks matematika smp kelas 9. Lks bangun ruang sisi lengkung 3.
Melakukan pengolahan dan penyajian data. Untuk contoh soal dan cara cepat mengerjakan soal soal pada materi di atas silahkan baca postingan mafia online yang berjudul soal dan pembahasan matematika smp kelas 9 ix semester ganjil. Oleh karena itu di bawah ini akan saya bagikan buku sekolah elektronik bse terbitan kemdikbud khusus untuk pelajaran matematika smp kelas 9.
Lks kelas ix kesebangunan ktsp materi dan lks matematika kelas 8 sistem koordinat. Juga untuk anak anak sekolah khususnya smp yang sangat membutuhkan materi ajar kelas 9 smp semester 1 dan semester 2. Bab i perpangkatan dan bentuk akar.
Buku Lks Pr Matematika Kelas 9 Smp Intan Pariwara Shopee Indonesia
Buku Lks Matematika Smp Kelas 9 K13 Intan Pariwara Shopee Indonesia
Lks Matematika Smp Mts Kelas Ix 9 Semester 2 Zamrud Shopee
Jual Lks Matematika Kls 9 Jakarta Timur Anggi Books Tokopedia
Lks Matematika Smp Mts Kelas Ix Sembilan Smtr 1 K13 Rev 2018 Baru
Jual Buku Lks Matematika Kelas 9 Smp Mts Semester 1 Modul
Distributor Lks Matematika Smp Mts Kelas 9 Best Choice Book Store
Jual Buku Lks Matematika Smp Kelas 9 K13 Intan Pariwara Blanja Com
Lks Ratih Matematika Kelas 9 Semester 1 Pusat Lks
Kunci Jawaban Lks Matematika Kelas 9 Sanjau
Lks Ratih Matematika Kelas 9 Semester 1 Pusat Lks
Buku Lks Matematika Smp Kelas 9 K13 Intan Pariwara Shopee Indonesia
Jual Buku Terbaru Buku Lks Matematika Smp Kelas 9 K13 Intan
Buku Incer Pendamping Bahan Ajar Matematika Kelas 9 Jpbooks
Buku Lks Matematika Smp Mts Kurikulum 13 K13 Kelas 9 Semester
Jual Lks Matematika Kelas 9 Semester 2 2019 2020 Kota Madiun
Jual Produk Lks Matematika Kelas 9 Murah Dan Terlengkap Maret 2020
Buku Pendamping Matematika Smp Kelas 9 Lks Incer Shopee Indonesia
Jual Buku Terbaru Buku Pendamping Matematika Smp Kelas 9 Lks Incer
Jawaban Matematika Halaman 31 32 Kls 8 Semester 2 Brainly Co Id
Kunci Jawaban Matematika Kelas Ix
Jual Produk Lks Matematika Kelas 9 Murah Dan Terlengkap Maret 2020
Jawaban Uji Kompetensi 1 Matematika Kelas 9 Smp Halaman 59
Uji Kompetensi 1 Nomor 1 2 3 4 5 6 Kelas 9 Smp Mts Perpangkatan
Lks Matematika Smp Mts Kelas Ix 9 Semester 2 Zamrud Shopee
Materi Matematika Kelas 9 Kurikulum 2013 Semester 1 2 Lengkap
Instink Mathematic Lks Pembelajaran Matematika Kelas 9 Smp
Buku Lks Matematika Kelas 7 8 9 Smp Semester 2 Kurikulum 2013
Jual Produk Lks Matematika Kelas 9 Murah Dan Terlengkap Maret 2020
Kunci Jawaban Bahasa Inggris Lks Kelas 9 Kunci Jawabanku
Jual Buku Lks Kelas 9 Di Kota Surabaya Harga Terbaru 2019
Kunci Jawaban Uji Kompetensi Bab 1 Matematika Kelas 9 Mata Pelajaran
Materi Pelajaran Matematika Kelas 9 Smp Mts Semester 1 2
Buku Lks Matematika Kelas 9 Semester 1 Di Lapak Maulana Bukalapak
Matematika Smp Mts Kelas 9 Ix Kurikulum 2013 Edisi Revisi 2018
Pdf Penggunaan Lembar Kerja Siswa Lks Untuk Menigkatkan Hasil
Soal Matematika Semester I Kelas Ix
Lks Matematika Smp Semester Genap Sakti Distributor Lks
Materi Matematika Kelas 9 Smp Mts Kurikulum 2013 Edisi Revisi 2018
Jawaban Matematika Kelas 7 Semester 2 Hal 54 57 Brainly Co Id
Hasil Perpangkatan Bse Matematika Kelas Ix Kurikulum 2013 Uji
Kunci Dan Perangkat Matematika Smp Kelas 9
Buku Guru Dan Buku Siswa Matematika Kelas 9 Ix Edisi Tahun 2018
Lks Matematika Kelas 9 Ktsp Di Lapak Toko Buku Cipulir Bukalapak
Soal Matematika Lks Permata Hal 7 Kelas 6 Coollazy S Diary
Jawaban Soal Matematika Kelas 9 Kurikulum 2013 Hal 10 Latihan 1 1
Buku Lks Matematika Smp Mts Kelas 9 Semsester Genap Ktsp Shopee
Jual Buku Lks Matematika Smp Kelas 9 K13 Intan Pariwara Blanja Com
Jual Produk Lks Matematika Kelas 9 Murah Dan Terlengkap Maret 2020
Lks Matematika Kelas 9 Ayo Berlatih Smpn 1 Solokan Jeruk
Jual Matematika Kelas 9 Kurikulum 2013 Edisi Revisi 2018 Kota
Kunci Jawaban Lks Matematika Kelas 9 Sanjau
Buku Lks Pr Smp Kelas 9 Matematika Semester 1 Intan Pariwara
Soal Matematika Kelas 9 Dengan Cara Kerjanya Brainly Co Id
Jawaban Lks 4 Matriks Halaman 44 Matematika Peminatan Kelas Xii
Kunci Jawaban Lks Matematika Kelas 9 Sanjau
Jual Produk Lks Matematika Kelas 9 Murah Dan Terlengkap Maret 2020
Jual Buku Pendamping Matematika Smp Kelas 9 Lks Incer Blanja Com
Matematika Lks Halaman 46 Kurikulum 2013 Semester 1 Tolongg
Buku Pendamping Matematika Kelas 9 Lks Incer Shopee Indonesia
Kunci Jawaban Uji Kompetensi Bab 1 Matematika Kelas 9 Kunci
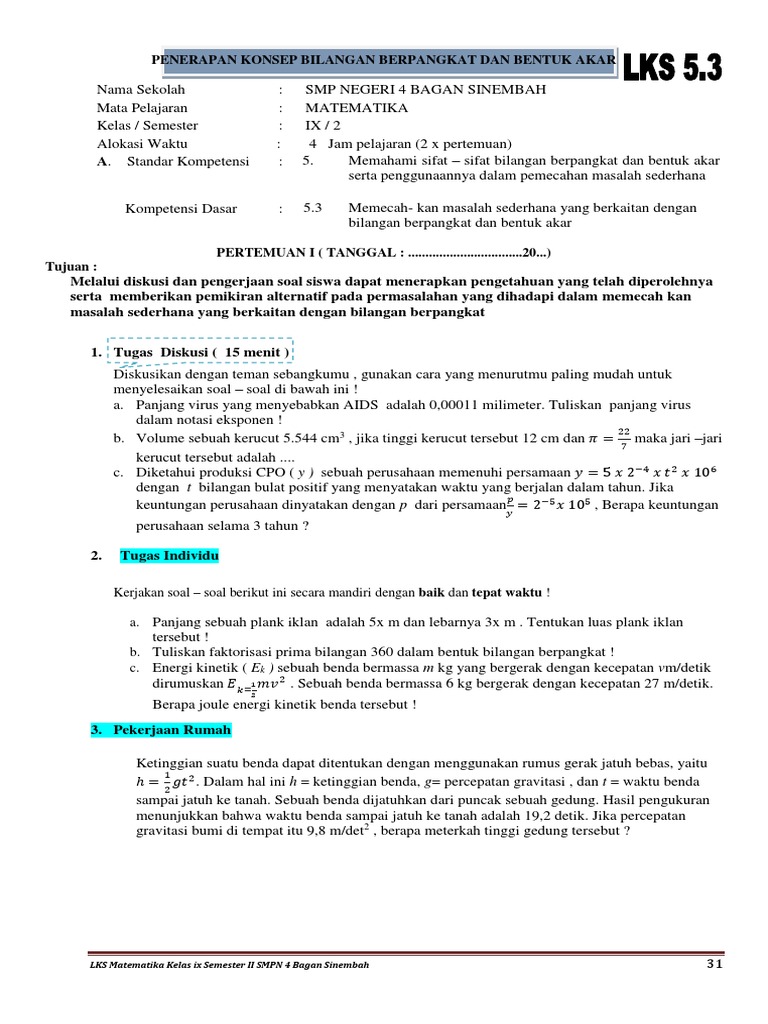
Lks 5 3 1 Pengguaan Bilangan Berpangkat
Buku Lks Matematika Kelas 9 Semester 1 Di Lapak Maulana Bukalapak
Soal Dan Kunci Jawaban Pat Matematika Smp Kelas 8 Kurikulum 2013
Jawaban Lks Matematika Halaman 47 Tugas Mandiri Kelas 7 Yang Aku
Kunci Jawaban Lks Matematika Kelas 9 Sanjau
Kisi Kisi Soal Dan Kunci Jawaban Matematika Smp Kelas 9 Pas
Instink Mathematic Lks Matematika Kelas 8 Smp
Jawaban Latihan 1 3 Matematika Kelas 9 Smp Halaman 30 Brainly Co Id
Lks Smp Mts Smt 1 Matematika 9 Gudanglks Com Pusat Jual Buku Lks
Money Pot Kunci Jawaban Lks Smp Kelas 7 Ips Semester 1 Leetchi Com
Buku Pegangan Guru Matematika Smp Kelas 9 Kurikulum 2013
Jual Lks Matematika Smp Mts Kelas 9 K13 Sembilan Smtr 2 K13 Rev
Doc Lembar Kerja Siswa Mtk Smp Kelas Vii Kd 3 3 Dan 4 3 Anwaril
Uji Kompetensi Matematika Smp Mts Matematika Awan Asyik
Kunci Jawaban Lks Matematika Kelas Xi Intan Pariwara Assassin S
Jual Produk Buku Lks Matematika Kelas 9 Murah Dan Terlengkap
Kunci Jawaban Uji Kompetensi Bab 1 Matematika Kelas 9 Kunci
Matematika Kelas 9 Pages 51 100 Text Version Anyflip
Buku Pendamping Matematika Smp Kelas 9 Lks Incer Lazada Indonesia
Tuhan Sahabat Sejati 3 Lembar Kerja Siswa Smp Kelas Ix Semester
Buku Lks Matematika Smp Mts Kelas 7 Semester Genap Ktsp Shopee
Jual Lks Matematika Smp Mts Kelas 8 Semester 2 Kota Surabaya
Jual Buku Pr Matematika Smp Kelas 9 Kurikulum 2013 Unbk Smp 2019
Bahan Belajar Siswa Kelas 9 Pbm Matematika Iwan Sumantri
Matematika Kelas 9 Halaman 20 Latihan 1 2 Nomor 3 Brainly Co Id
Doc Lks Matematika Kelas 7 Kurikulum 2013 Putu Eka Academia Edu
Kunci Jawaban Lks Matematika Sma Kelas Xii Penerbit Intan Pariwara










0 Response to "Lks Matematika Kelas 9"
Posting Komentar
Catatan: Hanya anggota dari blog ini yang dapat mengirim komentar.