Contoh Soal Dan Jawaban Transformasi

Rumus Dilatasi Pengertian Sifat Contoh Soal Dilatasi

4 Soal Matematika Soal Transformasi Geometri Dengan Pembahasan
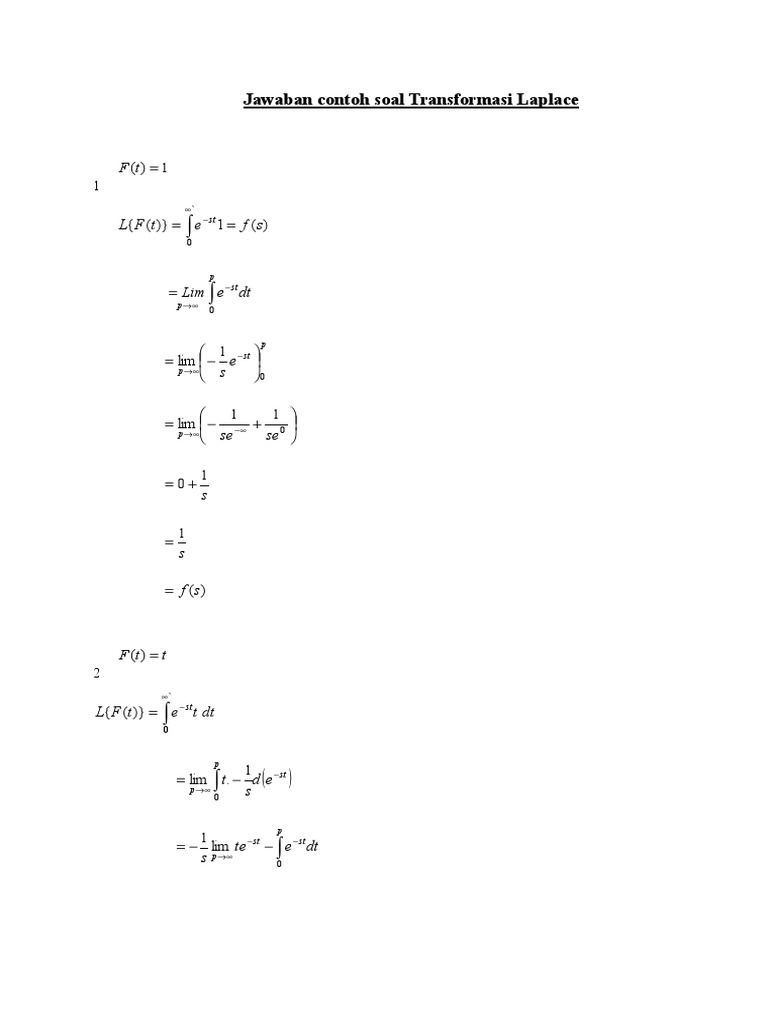
Contoh Soal Dan Jawaban Transformasi Laplace
Contoh Soal Transformasi Geometri Pembahasannya
Contoh Soal Transformasi Geometri Pembahasan Guru Ilmu Sosial
Doc 140698298 21 Soal Soal Transformasi Geometri Pembahasan Deddy Santoso Academia Edu
Contoh Soal Transformasi Laplace Dan Jawaban Docx
21 Soal Soal Transformasi Geometri
Contoh Soal Transformasi Laplace Dan Jawaban Docx Klzzrdr52qlg
Doc Soal Dan Pembahasan Transformasi Geometri Belia Mulyaningtyas Academia Edu
Contoh Soal Dan Pembahasan Transformasi Geometri Rotasi Guru Ilmu Sosial
Rumus Vektor Satuan Matematika Bersama Contoh Soal Dan Jawaban Matematika Satuan Persamaan
Contoh Soal Dan Pembahasan Rotasi Matematika Guru Ilmu Sosial
Doc Transformasi Matematika Lianti Antilia Academia Edu
21 Soal Soal Transformasi Geometri Pembahasan
Transformasi Geometri Translasi Rotasi Dilatasi Rumus Contoh Soal Geometri Diagram
Rumus Vektor Satuan Matematika Bersama Contoh Soal Dan Jawaban Matematika Satuan Dan Persamaan
Tim Kimia Space Telah Merangkum Contoh Soal Transformasi Galileo Dan Penyelesaiannya Untuk Siswa Dari Berbagai Penerbit Buku Di 2020 Teori Relativitas Einstein Fisika
Soal Dan Pembahasan Super Lengkap Transformasi Geometri Mathcyber1997


0 Response to "Contoh Soal Dan Jawaban Transformasi"
Posting Komentar
Catatan: Hanya anggota dari blog ini yang dapat mengirim komentar.