Conoh Soal Dan Jawaban Perhitungan Titik Impas

Untuk mendapat laba maksimum tersebut dipengaruhi tiga faktor utama yaitu. Berikut contoh soal menghitung break even point atau titik impas.
Contoh Break Even Point Bep Pada Perusahaan Pangan Nabati Dan Hewani
Tuliskan 4 kegunaan perhitungan titik impas break even point.

Conoh soal dan jawaban perhitungan titik impas. Contoh soal perhitungan titik impas dan klasifikasi. Contoh soal beserta jawaban tentang perhitungan titik impas atau break even point bep. Break even point bep ialah titik impas di mana posisi jumlah pendapatan dan biaya sama atau seimbang sehingga tidak terdapat keuntungan ataupun kerugian dalam suatu perusahaan bep ini digunakan untuk menganalisis proyeksi sejauh mana banyaknya jumlah unit yang diproduksi atau sebanyak apa uang yang harus diterima untuk mendapatkan titik impas atau kembali modal.
Break even point fc. Contoh soal cara menghitung break even point. Sebuah perusahaan mengeluarkan biaya sebesar 9000 untuk sebuah mesin produksi estimasi dari ongkos produksi 3 unit penjualan yg diperoleh dari produk yg dihasilkan mesin itu adalah 6 unit berapa unit yg hrus dihasilkan perusahaan sehingga tercapai break even pokok titik pulang pokok dan jika diketahui dlm 1bulan anda bisa menghasilkan 20unit baju pada.
Laba atau keuntungan bisa didapatkan melalu biaya pengeluaran dan biaya. Untuk tujuan untuk mengadakan analisis titik impas biaya biaya yang telah terjadi selama periode tertentu harus diklasifikasikan kedalam kelompok biaya tetap dan kelompok biaya variabel biaya biaya yang meliputi biaya produksi. Contoh perhitungan fva 1 contoh perhitungan selisih kurs 1 contoh persamaan dasar akuntansi 1 contoh proyeksi laporan keuangan 1 contoh rekonsiliasi bank 1 contoh soal akuntansi keuangan menengah 1 contoh soal diterima ditolaknya suatu investasi suatu proyek 1 contoh soal menghitung modal kerja dng menggunakan 3 konsep 1.
Posting pada akuntansi s1 ditag apa kegunaan perhitungan titik impas artikel break even point bep dengan perubahan bep rumus break even analysis adalah break even point pdf break even point terjadi ketika cara menghitung bep untuk multi produk cara menghitung bep usaha restoran contoh bep contoh break even point contoh soal bep contoh soal bep brainly contoh soal dan jawaban. Menghitung break event point bep atau titik impas di ms excel setiap pengusaha atau pemilik modal sebelum menanamkan uang atau modal pada sebuah usaha pasti akan menghitung untung rugi usaha yang akan digeluti terlebih dahulu. Tolong bantu saya menjaeab soal ini.
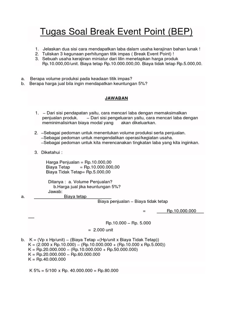
Pengertian rumus dan cara menghitung break even point dalam sebuah usaha atau bisnis dipakai suatu ukuran umum dalam menentukan dan menilai keberhasilan manajemen usaha dalam mencapai target penjualan sehingga terjadi keuntungan atau laba maksimal. Perhitungan 1 vc p disebut juga dengan istilah margin kontribusi per unit. Sebuah usaha kerajinan dari miniatur lilin menetapkan harga produk rp10 000 00 per.
Kata dalam artikel 2019 rumus formula titik pulang pokok break even point dan fungsi menghitung bep titik pulang pokok. Lebih jauh lagi hitungan tentang berapa lama waktu yang dibutuhkan untuk balik modal alias titik impas mutlak perlu dilakukan. Titik pulang pokok atau break even point bep atau titik impas adalah contoh soal perhitungan titik pulang pokok menghitung bep break even point.
Biaya produksi harga jual dan banyaknya penjualan. Total biaya tetap fc bernilai rp 200. Price per unit s.
Analisis Biaya Volume Laba Ppt Download
Perhitungan Titik Impas Break Event Point Perjuangan Kerajinan Dari Materi Limbah Anak Smp
Contoh Menghitung Titik Impas Break Even Point Usaha Pembenihan Ikan Konsumsi
Kumpulan Contoh Soal Bep Unit Dan Jawabannya Kang Yusuf Teknologi Bisnis
Lengkpa Pengertian Break Event Point Rumus Cara Menghitungnya
Perhitungan Titik Impas Break Event Point Usaha
Pdf Cost Volume Profit Analysis Rudi Hardiansyah Academia Edu
Ppt Break Even Point Titik Impas Powerpoint Presentation Free Download Id 6063030
Akuntansi Manajemen Analisis Titik Impas Ajang Mulyadi Ppt Download
Contoh Soal Beserta Jawaban Tentang
Jawaban Soal Dan Latihan Bab Xi
Jelaskan Komponen Perhitungan Titik Impas Break Event Point Usaha Kerajinan Brainly Co Id
Gunakan Tabel Untuk Menentukan Titik Impas Break Event Point Dari Persamaan Berikut A C 15x Brainly Co Id
Print Makalah Analisis Titik Impas
Titik Pulang Pokok Break Even Point Bep Contoh Perhitungan Fungsi Asumsi
Rumus Break Even Point Bep Dan Simulasi Contoh Penghitungannya Disertai Program Excel Pengadaan Eprocurement



0 Response to "Conoh Soal Dan Jawaban Perhitungan Titik Impas"
Posting Komentar
Catatan: Hanya anggota dari blog ini yang dapat mengirim komentar.