Contoh Soal Luas Permukaan Dengan Integral Lipat Dua Beserta Sumbernya

Integral lipat dua dengan bentuk umum fxy da biasanya digunakan untuk menghitung luas. 20200620 Integral berulang kadang juga dikenal sebagai integral ganda atau integral lipat adalah materi kalkulus lanjut yang dipelajari secara mendalam untuk menganalisis masalah luas dan volume baik pada bidang dua dimensi maupun tiga dimensi.
Contoh Soal Integral Lipat Dua Dalam Koordinat Polar Kumpulan Soal Pelajaran 5
20201209 Demikianlah pembahasan mengenai Contoh Soal Integral Tentu Tak Tentu Substitusi Parsial dan Rumus semoga dengan adanya ulasan tersebut dapat menambah wawasan dan pengetahuan kalian semua terima kasih.

Contoh soal luas permukaan dengan integral lipat dua beserta sumbernya. Misalkan persamaan garis kita tulis menjadi fx 2. Untuk memberikan pemahaman kepada pembaca tentang materi tersebut berikut disajikan beberapa soal terkait terkhusus untuk integral lipat dua yaitu integral. November 2 2017 soal dan pembahasan ujian tengah semester uts kalkulus lanjut december 14 2017 soal dan pembahasan integral lipat dua december 31 2019 soal dan pembahasan ulangan umum matematika kelas xi semester ganjil ta 2019 2020 smkn 3 pontianak.
Teknik penyelesaian integral lipat dengan menggunakan metode numerik jarang ditemui dan dipaparkan secara gamblang. Luas daerah yang diarsir adalah Jawab. 20200421 Memahami Dengan Mudah Integral Lipat Dua Contoh Soal 3.
Untuk integral lipat dua dari fungsi dengan dua peubah pembatasannya adalah bahwa fungsi dua peubah tersebut terdefinisi pada suatu daerah tertutup di R2. Garis medan listrik tegak lurus dengan permukaan dan berhimpit dengan garis normal sehingga sudut yang terbentuk 0 o. Statistika FMIPA Universitas Islam Indonesia Atina Ahdika SSi MSi Kalkulus Multivariabel I 28 Penerapan Integral Lipat-Dua Penerapan Integral Lipat-Dua Buat partisi seperti pada gambar dan asumsikan sebagai sebuah hampiran bahwa suatu massa dari setiap Rk terpusat di.
Jawaban lengkap dari soal UN dan SBMPTN untuk kelas 11 Pengertian Integral merupakan kebalikan dari turunan. Contoh Soal 4. 20201006 Contoh soal integral tentu dan penyelesaiannya tutorial mata pelajaran matematika kali ini akan membahas soal soal tentang integral tertentu.
20200606 Contoh contoh soal dan pembahasan kalkulus peubah banyak doc 2018 12 30t17 00 00 07 00 rating. 20191211 Luas permukaan bola. Oleh sebab itu penulis tertarik untuk meneliti tentang penyelesaian integral lipat dua.
Φ E A cos θ. Aplikasi integral lipat dua. Setelah sebelumnya kita membahas lengkap materi integral kali ini kita akan membahas contoh soal integral dengan menggunakan sifat sifat integral tentu dan tak tentu simak soal dan pembahasan berikut untuk meningkatkan.
20201003 Contoh Soal dan Jawaban Konduksi Panas Sebuah batang logam mempunyai panjang 2 m dan memiliki luas penampang 20 cm 2 dan perbedaan suhu kedua ujungnya 50 0 C. 20210217 Contoh soal integral lipat dua pada persegi panjang. Kita akan coba untuk menghitung luas daerah dengan integral pada contoh soal nomor 5 di atas dengan batas yang kita gunakan ada pada sumbu Y.
Hitung luas daerah yang dibatasi oleh x y 2 dan 2y x y Jawab. A 4 π r 2 4 31405 2 1256025 314 m 2 Fluks listrik. Fungsinya adalah y 4 - x2 rightarrow x sqrt4 - y.
Luas dari suatu bidang dapat dipandang dengan sustu. Tentukan luas daerah yang diarsir berikut Jawab. Yang dimaksud daerah tertutup disini adalah daerah beserta dengan.
Bila koefisien konduksi termalnya 02 kalms 0 C tentukan jumlah kalor yang merambat per satuan luas. Jika Fx adalah fungsi umum yang bersifat Fx fx maka Fx merupakan anti turunan atau integral dari fx. Luas dari suatu bidang dapat dipandang dengan sustu integral lipat dua jika fxy1 sehingga integral lipat dua menjadi contoh soal.
20210208 Pelajari rangkuman materi integral dilengkapi dengan contoh soal integral beserta pembahasan.
Contoh Soal Integral Lipat Dua Dan Penyelesaiannya Kumpulan Soal Pelajaran 5
Integral Lipat Dua Dalam Koordinat Kutub Ppt Download
Contoh Soal Integral Lipat Dua Dalam Koordinat Polar Kumpulan Soal Pelajaran 5
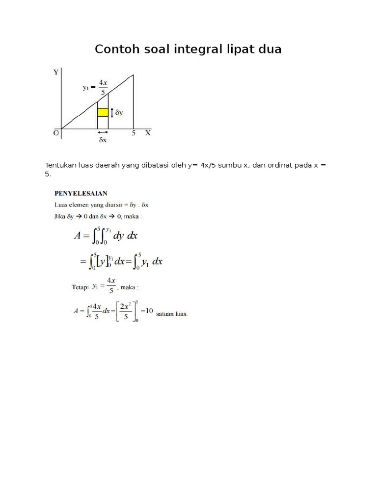
Contoh Soal Integral Lipat Dua
Contoh Soal Integral Lipat Dua Dan Penyelesaiannya Kumpulan Soal Pelajaran 5
Contoh Soal Integral Lipat Dua Dan Penyelesaiannya Kumpulan Soal Pelajaran 5
Contoh Soal Integral Lipat Dua Dan Penyelesaiannya Kumpulan Soal Pelajaran 5
Contoh Soal Integral Lipat Dua Dan Penyelesaiannya Soal Soal
Contoh Soal Integral Lipat Dua Dan Penyelesaiannya Kumpulan Soal Pelajaran 5
Contoh Soal Integral Lipat Dua Pada Persegi Panjang Soal Soal
Contoh Soal Integral Lipat Dua Dan Penyelesaiannya Kumpulan Soal Pelajaran 5
Contoh Soal Integral Lipat Dua Dan Penyelesaiannya Kumpulan Soal Pelajaran 5
Contoh Soal Dan Pembahasan Integral Lipat Dua Berbagi Contoh Soal Cute766
Contoh Soal Integral Lipat Dua Dan Penyelesaiannya Kumpulan Soal Pelajaran 5
Contoh Soal Integral Lipat Dua Dan Penyelesaiannya Soal Soal
Contoh Soal Integral Lipat Dua Dalam Koordinat Polar Soal Soal
Contoh Soal Integral Lipat Dua Dalam Koordinat Polar Soal Soal



0 Response to "Contoh Soal Luas Permukaan Dengan Integral Lipat Dua Beserta Sumbernya"
Posting Komentar
Catatan: Hanya anggota dari blog ini yang dapat mengirim komentar.