Soal Teks Editorial Lengkap Beserta Jawaban

Definisi struktur contoh soal beserta kunci jawaban latihan soal ujian nasional unbk smk sma 2018. 20210326 Contoh Soal Teks Prosedur Pilihan Ganda Beserta Jawaban Duane Sims Contoh Soal Dan Jawaban Sastra Indonesia kelas XI.
Kumpulan Soal Essay Present Progressive Dalam Bahasa Inggris Lengkap Http Www Ilmubahasainggris Com Kumpulan Belajar Bahasa Inggris Bahasa Inggris Inggris
Berikut ini kakak akan memberikan contoh soal PG Bahasa.
Soal teks editorial lengkap beserta jawaban. Oleh Ikhlas hikmatiar 24 Feb 2021 Posting Komentar Contoh soal teks Negosiasi kelas 10 mungkin Anda perlukan. 20210101 Soal Pilgan Essay Teks Diskusi Beserta Jawaban Soal Pilihan Ganda Perihal Teks Diskusi Hal-hal yang tidak perlu dipertimbangkan dalam. 20200329 Soal komunikasi bisnis lengkap jawaban.
20191120 Hasil Pencarian untuk. Kalau tidak bukan saja kepentingan rakyat Amerika yang akan dirugikan tetapi lebih besar lagi kepentingan ekonomi Amerika dalam kaitannya dengan kepercayaan asing yang akan dirugikan. Banjir yang selalu melanda Ibu Kota Jakarta sudah.
20201213 SOAL 2. Berikan jawaban secara logis B. 20200408 soal teks editorial pdf Pernyataan Argumentatif Dalam Teks Berikut Adalah Contoh Teks Eksposisi Singkat Beserta Strukturnya Lengkap Teks editorial merupakan tulisan yang berisi fakta teks editorial hamper sama dengan teks argumentatif karena berisi pemaparan sebuah argument teks editorial di dalam penulisannya mempunyai beberapa fungsi diantaranya adalah.
20210305 18 Soal Teks Berita Lengkap Jawaban Latihan Soal Pilihan Ganda Bab Berita 1. 20210224 40 Soal Teks Negosiasi PG. SOAL DAN KUNCI JAWABAN TEKS EDITORIAL 1Sudah semestinya pemimpin Amerika tersebut mengambil langkah tegas seperti itu.
Anak jatuh dari sepeda b. 20201105 Soal Essay Dan Jawaban Tentang Pameran Nov 05 2020 Soal Pameran Beserta Jawaban - Guru Ilmu Sosial Seni Budaya Soal Pameran Contoh Soal Pilihan Ganda Tentang Pameran Karya Seni Rupa - Dapatkan Contoh Soal Dan Jawaban Pameran Seni Rupa - Guru Ilmu Sosial Latihan Soal Uas i 2015 Seni Rupa Xii Soal Essay Dan Jawaban Tentang Pameran - Guru. Kecelakan beruntun di Tol Cipularang c.
Setelah kemarin kita membahas apa itu teks prosedur pada postingan sebelumnya pada kesempatan kali ini kita akan membagikan contoh soal Ulangan Teks Prosedur Kelas XI SMAMASMK Beserta Jawabannya kepada teman-teman semuanya. Dimulai dari pertanyaan nomor 21 berikut di bawah ini soal pilihan ganda bahasa Indonesia kelas 12 semester ganjil K13 beserta jawaban. Adapun untuk soal lebih lengkap beserta kunci jawaban bisa langsung diunduh di bawah ini.
1 日前 Contoh Soal Materi Teks Diskusi Kelas IX 15 Feb 2019 2 komentar. Hal-hal yang tidak perlu dipertimbangkan dalam menanggapi penjelasan dalam diskusi adalah A. Bacalah teks editorial berikut.
Contoh soal teks editorial beserta jawaban Kisi-kisi dan Kumpulan Soal Tes CPNS 2019 Lengkap dengan Kunci Jawaban Bisa Download Gratis dan Nilai Ambang Batas Resmi November 20 2019 Oleh SMK DIPO. 20200912 Contoh soal psikotes lengkap dan jawabannya contoh soal psikotes psikotes yaitu sesuatu metode kontrol psikologi yang meng. 20200825 Kumpulan Soal Pilihan Ganda Materi Teks Diskusi 1.
Contoh Soal Essay Teks Eksposisi Beserta. Peristiwa yang tidak layak dijadikan berita adalah. 2 日前 Ini adalah kumpulan contoh soal kelas 10 SMA dan MA lengkap dengan jawabannya.
Esay Kurikulum 2013 Lengkap dengan Kunci Jawaban. Ber i kut 20 contoh soal teks eksposisi pilihan ganda beserta jawabannya. 15 Contoh Soal Explanation Text Dan Kunci Jawaban Terbaru Paja Tapuih.
Mar 23 2021 Explanation text beserta soal dan jawaban. Download Contoh Soal Teks Eksplanasi Pilihan Ganda Beserta Kunci Jawaban PDF 800 MB - SamPDF SamPDF Contoh Soal Teks Eksplanasi dan Kunci Jawaban Kunci Jawaban No7 adalah D. Bagian tersebut berisi pendapat umum yang disampaikan penulis terhadap permasalahan yang diangkat dalam teks eksposisi.
20201105 Soal-soal di bawah ini bisa kamu gunakan sebagai referensi atau bahan latihan untuk mengerjakan tugas dari guru dan juga untuk menghadapi ujian di sekolah.
50 Contoh Soal Teks Ceramah Pilihan Ganda Beserta Jawabannya
Contoh Soal Teks Editorial Beserta Jawabannya Berbagai Teks Penting
Contoh Soal Opini Dan Jawabannya Ilmusosial Id
Pin Di Soal Dan Kunci Jawaban Lengkap
100 Contoh Soal Dan Jawaban Teks Editorial Bahasa Indonesia E Kelas Com
Soal Bahasa Indonesia Unnas 3 Sma Beserta Kunci Jawaban
33 Contoh Soal Teks Tanggapan Kritis Pg Beserta Jawabannya Pdf
Contoh Soal Essay Teks Eksposisi Beserta Jawaban Kelas 10 Kumpulan Soal Pelajaran 3
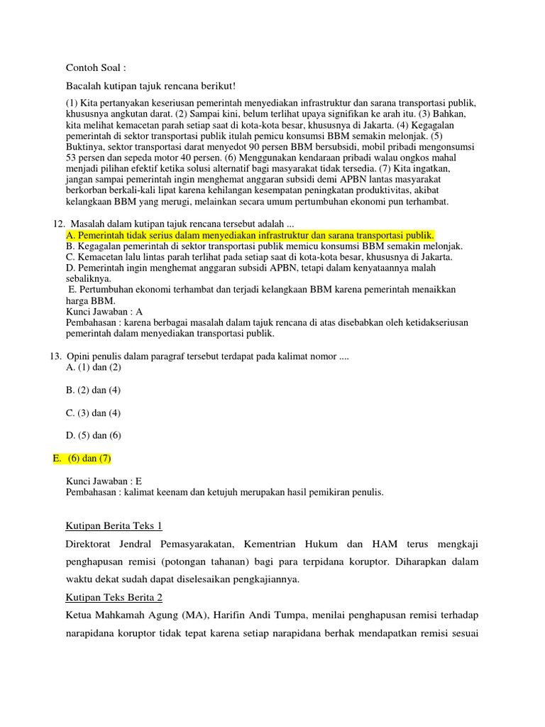
Contoh Soal Tajuk Rencana Dan Jawabannya Barisan Contoh
Contoh Soal Teks Editorial Beserta Jawabannya Berbagai Teks Penting
Soal Soal Teks Editorial Atau Tajuk Rencana 1 Zuhri Indonesia
Soal Kunci Jawaban Latihan Uts Dan Pts Sma Kelas 12 Materi Bahasa Indonesia Pilihan Ganda Essay Tribunnewsmaker Com
Contoh Soal Teks Editorial Beserta Jawabannya Berbagai Teks Penting
Soal Caption Bahasa Inggris Pilihan Ganda Blog Pendidikan Bahasa Inggris Inggris Pendidikan
50 Soal Bahasa Indonesia Dan Jawaban
Soal Dan Kunci Jawaban News Item New Item Dan News
Contoh Soal Opini Dan Jawabannya Ilmusosial Id
Contoh Soal Cerita Sejarah Beserta Jawaban Peranti Guru

0 Response to "Soal Teks Editorial Lengkap Beserta Jawaban"
Posting Komentar
Catatan: Hanya anggota dari blog ini yang dapat mengirim komentar.