Soal Uts Bhs Madura Kls 1 Semester 2

1 日前 Contoh soal ukk bhs indonesia smk kelas 10 semester 2. Tentunya tidak semua sekolah yang melaksanakan UTS dengan sistem soal tematik banyak dari sekolah sekolah yang melaksanakan Ulangan tengah Semester menggunakan sistem mata pelajaran.
Download Soal Tematik Kelas 5 Semester 1 Tema 2 Subtema 1 Udara Bersih Bagi Kesehatan Cara Tubuh Mengolah U Matematika Kelas 5 Pemahaman Membaca Tema Kelas
20170510 Itulah sebagian soal ukk b indo kls 1 ktsp adapun soal lengkapnya silahkan diunduh pada tombol download di akhir tulisan ini.

Soal uts bhs madura kls 1 semester 2. Both of them will be mixed into the dough. Soal UTS Tematik Kelas 5 Semester 2 Th. Contoh Soal Uas Ganjil Bahasa Madura Kelas 7 Smp Mts Soal Pts Uts Bahasa Madura Kelas 1 Semester 1 Tahun 2018 2019 Contoh Soal Uas Ganjil Bahasa Madura Kelas 7 Smp Mts Halo teman-teman kelas 11 silahkan bagi.
Soal soal tematik integratif sd kelas 6 kurikulum 2013 tema 2. After that its taken little by little into. Dalam kesempatan kali ini RukimID.
Soal berikut merupakan contoh soal UTS mata pelajaran Bahasa Inggris untuk adik-adik yang duduk di bangku sekolah dasar kelas 6 semester 1. Soal Uts Semester Ii Kelas 6 Bahasa Madura Pdf Doc Soal Uas Bhs Madura Kelas Vi Fauzan Zifa Blogspot Com Alfan Bahasa Madura Kelas Ix Download Soal Uts Dan Uas Semester 1 2 Sd Mi Semua Mapel Data Notulen. Indonesia Semester 2 genap ini semoga bermanfaat bagi yang sedang membutuhkannya.
20210303 SOAL UTS Bahasa Indonesia Kelas 8 SMP MTS Semester 2 Kurikulum 2013 dan Kunci Jawaban PTS. Yang bisa bapakibu guru unduh secara gratis dengan menekan tombol download. 20200702 Kumpulan Soal Bhs Madura Dan Jawaban 2017 12 24jika Anda Tidak Soal Uas Semester 1 Bahasa Jawa Kelas 5 Sd Mi Semester 1 Dan Kunci Download Kumpulan Soal Pts Uts Kelas 9 Smp Mts Semester 2 Download Soal 2.
Hal ini sangat membantu para guru dalam mengefaluasi pelajaran yang sudah di serap oleh murid. Bank Soal SDsoal uts muatan lokal kelas 2 semester 1 ktsp Bagi anda yang berminat untuk berlatih soal-soal UTSMID untuk semester 12 secara lengkap. Jika ingin mendownload soal Di bawah ini linknya Soal UTS Bahasa Inggris Kelas 6 Semester 2 Terbaru Tahun 20182019 Kunci Jawaban Room I 1.
Bank Soal SDsoal uts muatan lokal kelas 2 semester 1 ktsp Bagi anda yang berminat untuk berlatih soal-soal UTSMID untuk semester 12 secara lengkap. Contoh Soal PTS Kelas 5 Semester 2 Kurikulum 2013 yang coba saya bagikan ini Tema 6. 1 日前 Soal Soal Uts Kelas 4 Semester 2 Agama Islam islam kelas soal Edit Untuk mengunduh file gunakan tombol download yang tersedia kemudian buka Link download yang muncul Soal Uts Pendidikan Agama Islam Ktsp Kelas 6.
Berikut ini adalah file tentang soal bhs madura kls 3 semester 1. Inggris Kelas 2 Semester 2 Genap untuk berlatih ulangan uts genap tahun 2017 terbaru sesuai dengan kurikulum ktsp yang dilengkapi dengan kunci jawabannya dan terdiri dari soal pilihan ganda pg dan isian sebanyak 30 soal. Soal UTS Kelas 3 Tema 6 Sub Tema 1 dan 2.
20210314 Soal UTS Bahasa Inggris Kelas 9 Semester 2 The most famous specialty from South Sumatera is Pempek. Clean the tables and chairs 4. Demikianlah postingan tentang Soal UKK UAS Kelas 1 B.
Disini maki mamberikan materi untuk sekolah menengah atas kelas 12 Sekolah menengah kejuruan terutama di kelas 1 2 hingga 3. 20200808 Soal Uts B Arab Sdit Mi Kelas 1 Semester 2 Genap 2017 Kisi Kisi Ujian Praktek Bahasa Arab Kelas 6 Sd Mi Antapedia Com Soal Uts Genap B Arab Kelas 5 Semester 2 Pdf Kisi Kisi Soal Pas Uas Bahasa Arab Kelas 11 K13. TRIBUNPONTIANAKCOID - Berikut kita dibahas kunci jawaban contoh soal untuk latihan menghadapi Ulangan Tengah Semester UTS atau Penilaian Tengah Semester PTS pelajaran Bahasa Indonesia Kelas 8 SMP MTS Semester 2 Genap tahun 2021.
Soal uts pts fikih kelas 6 semester 1 dan kunci jawaban. Yang bisa bapakibu guru unduh secara gratis dengan menekan tombol download. Berikut ini adalah file tentang soal uts bahasa madura kls 3 semester 1.
20200216 Pada kesempatan kali ini admin akan membagikan beberapa contoh soal UTS kisi-kisi UTS dan kunci jawaban untuk soal PTS Bahasa Indonesia Kelas 1 Semester 2. 20170128 Download dan dapatkan Soal UTS B. Soal UTS Kelas 3 Tema 6 Sub Tema 3 dan 4.
20190304 LatihanSoal VideoPembelajaranVideo Latihan Soal Kali Ini Membahas UTS PTS Bahasa Indonesia Kelas 7 Semester 2 Kurikulum 2013 Beserta Kunci Jawaban. Aryo Nita Dewi and Andi 3. 20200813 Soal Bahasa Arab Kls 2 Uas Ganjil Soal Bahasa Arab Mi Guru Ilmu Sosial Soal Bahasa Arab Kelas 1 Soal Uts B Arab Sdit Mi Kelas 1 Semester 2 Genap 2017 Soal Bahasa Arab.
This food is made from fish and starch. Contoh Soal PTS yang bisa BapakIbu unduh di bawah ini merupakan soal UTS untuk Kelas 1 SDMI Kurikulum 2013 Revisi 2017 disertai Kunci Jawaban untuk Semester 2 tahun pelajaran 20182019 Adapun soal UTS K13 Kelas 1 ini sudah memuat unsur-unsur HOTS PPK4C dan terdiri dari bentuk soal pilihan ganda dan bentuk soal essay.
Pemerintah Kabupaten Jemberunit Pelaksana Teknis Dinas Pendidikankecamatan Tanggulalamat Jl Pb Sudirman No 63 No Semester Tema Education
Ulangan Tengah Semester Ii Mata Pelajaran Bahasa Indonesia Nama Kelas V Education Indonesia Semester
Download Soal Uts Atau Soal Penilaian Tengah Semester 1 Pelajaran Muatan Lokal Bahasa Jawa Kelas 4 Sesuai Kurikulum 2013 Kurikulum Bahasa Sekolah Dasar
Pin Di Soal Dan Kisi2 Kelas 5 Kurtilas Semester 1
Pin Di Soal Uts Pts Bahasa Inggris Kelas 1 Sd Semester I
Soal Uts Bahasa Indonesia Kelas 6 Semester 2
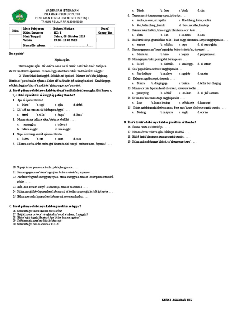
Soal Pts Uts Bahasa Madura Kelas 1 Semester 1 Tahun 2018 2019 Websiteedukasi Com
Soal Pts Bahasa Madura Kelas 3
Soal Uts Bahasa Indonesia Kelas 6 Semester 2
Soal Uts Bahasa Indonesia Kelas 6 Semester 2 Semester Indonesia
Soal Uts Bahasa Indonesia Kelas 6 Semester 2
Soal Pts Bahasa Madura Kelas 3
Soal Uts Bahasa Indonesia Kelas 6 Semester 2





0 Response to "Soal Uts Bhs Madura Kls 1 Semester 2"
Posting Komentar
Catatan: Hanya anggota dari blog ini yang dapat mengirim komentar.